Aromatic Substitution Reactions Part II
4. Electrophilic Substitution of Disubstituted Benzene Rings
When a benzene ring has two substituent groups, each exerts an influence on subsequent substitution reactions. The activation or deactivation of the ring can be predicted more or less by the sum of the individual effects of these substituents. The site at which a new substituent is introduced depends on the orientation of the existing groups and their individual directing effects. We can identify two general behavior categories, as shown in the following table. Thus, the groups may be oriented in such a manner that their directing influences act in concert, reinforcing the outcome; or are opposed (antagonistic) to each other. Note that the orientations in each category change depending on whether the groups have similar or opposite individual directing effects.
|
||||||||||||
The products from substitution reactions of compounds having a reinforcing orientation of substituents are easier to predict than those having antagonistic substituents. For example, the six equations shown below are all examples of reinforcing or cooperative directing effects operating in the expected manner. Symmetry, as in the first two cases, makes it easy to predict the site at which substitution is likely to occur. Note that if two different sites are favored, substitution will usually occur at the one that is least hindered by ortho groups.

The first three examples have two similar directing groups in a meta-relationship to each other. In examples 4 through 6, oppositely directing groups have an ortho or para-relationship. The major products of electrophilic substitution, as shown, are the sum of the individual group effects. The strongly activating hydroxyl (–OH) and amino (–NH2) substituents favor dihalogenation in examples 5 and six.
Substitution reactions of compounds having an antagonistic orientation of substituents require a more careful analysis. If the substituents are identical, as in example 1 below, the symmetry of the molecule will again simplify the decision. When one substituent has a pair of non-bonding electrons available for adjacent charge stabilization, it will normally exert the product determining influence, examples 2, 4 & 5, even though it may be overall deactivating (case 2). Case 3 reflects a combination of steric hindrance and the superior innate stabilizing ability of methyl groups relative to other alkyl substituents. Example 6 is interesting in that it demonstrates the conversion of an activating ortho/para-directing group into a deactivating meta-directing "onium" cation [–NH(CH3)2(+) ] in a strong acid environment.

5. Reactions of Substituent Groups
A. Oxidation of Alkyl Side-Chains
The benzylic hydrogens of alkyl substituents on a benzene ring are activated toward free radical attack, as noted earlier. Furthermore, SN1, SN2 and E1 reactions of benzylic halides, show enhanced reactivity, due to the adjacent aromatic ring. The possibility that these observations reflect a general benzylic activation is supported by the susceptibility of alkyl side-chains to oxidative degradation, as shown in the following examples (the oxidized side chain is colored). Such oxidations are normally effected by hot acidic pemanganate solutions, but for large scale industrial operations catalyzed air-oxidations are preferred. Interestingly, if the benzylic position is completely substituted this oxidative degradation does not occur (second equation, the substituted benzylic carbon is colored blue).
| C6H5–CH2CH2CH2CH3 + KMnO4 + H3O(+) & heat | ![]() |
C6H5–CO2H + CO2 |
| p-(CH3)3C–C6H4–CH3 + KMnO4 + H3O(+) & heat | ![]() |
p-(CH3)3C–C6H4–CO2H |
These equations are not balanced. The permanganate oxidant is reduced, usually to Mn(IV) or Mn(II). Two other examples of this reaction are given below, and illustrate its usefulness in preparing substituted benzoic acids.

B. Reduction of Nitro Groups and Aryl Ketones
Electrophilic nitration and Friedel-Crafts acylation reactions introduce deactivating, meta-directing substituents on an aromatic ring. The attached atoms are in a high oxidation state, and their reduction converts these electron withdrawing functions into electron donating amino and alkyl groups. Reduction is easily achieved either by catalytic hydrogenation (H2 + catalyst), or with reducing metals in acid. Examples of these reductions are shown here, equation 6 demonstrating the simultaneous reduction of both functions. Note that the butylbenzene product in equation 4 cannot be generated by direct Friedel-Crafts alkylation due to carbocation rearrangement. The zinc used in ketone reductions, such as 5, is usually activated by alloying with mercury (a process known as amalgamation).

Several alternative methods for reducing nitro groups to amines are known. These include zinc or tin in dilute mineral acid, and sodium sulfide in ammonium hydroxide solution. The procedures described above are sufficient for most cases.
C. Conversion of Halogens to Organometallic Reagents
The reaction of alkyl and aryl halides with reactive metals (usually Li & Mg) to give nucleophilic reagents has been noted. This provides a powerful tool for the conversion of chloro, bromo or iodo substituents into a variety of other groups. Many reactions of these aryl lithium and Grignard reagents will be discussed in later sections, and the following equations provide typical examples of carboxylation, protonation and Gilman coupling. Metal halogen exchange reactions take place at low temperature, and may be used to introduce iodine at designated locations. An example of this method will be displayed below by clicking on the diagram. In this example care must be taken to maintain a low temperature, because elimination to an aryne intermediate takes place on warming.
D. Hydrolysis of Sulfonic Acids
The potential reversibility of the aromatic sulfonation reaction was noted earlier. The following equation illustrates how this characteristic of the sulfonic acids may be used to prepare the 3-bromo derivative of ortho-xylene. Direct bromination would give the 4-bromo derivative.

E. Modifying the Influence of Strong Activating Groups
The strongest activating and ortho/para-directing substituents are the amino (-NH2) and hydroxyl (-OH) groups. Direct nitration of phenol (hydroxybenzene) by dilute nitric acid gives modest yields of nitrated phenols and considerable oxidative decomposition to tarry materials; aniline (aminobenzene) is largely destroyed. Bromination of both phenol and aniline is difficult to control, with di- and tri-bromo products forming readily. Because of their high nucleophilic reactivity, aniline and phenol undergo substitution reactions with iodine, a halogen that is normally unreactive with benzene derivatives. The mixed halogen iodine chloride (ICl) provides a more electrophilic iodine moiety, and is effective in iodinating aromatic rings having less powerful activating substituents.
| C6H5–NH2 + I2 + NaHCO3 | ![]() |
p-I–C6H4–NH2 + NaI + CO2 + H2O |
By acetylating the heteroatom substituent on phenol and aniline, its activating influence can be substantially attenuated. For example, acetylation of aniline gives acetanilide (first step in the following equation), which undergoes nitration at low temperature, yielding the para-nitro product in high yield. The modifying acetyl group can then be removed by acid-catalyzed hydrolysis (last step), to yield para-nitroaniline. Although the activating influence of the amino group has been reduced by this procedure, the acetyl derivative remains an ortho/para-directing and activating substituent.
C6H5–NH2 + (CH3CO)2O |
pyridine (a base)![]() |
C6H5–NHCOCH3 |
HNO3 , 5 ºC![]() |
p-O2N–C6H4–NHCOCH3 |
H3O(+) &
heat![]() |
p-O2N–C6H4–NH2 |
The following diagram illustrates how the acetyl group acts to attenuate the overall electron donating character of oxygen and nitrogen. The non-bonding valence electron pairs that are responsible for the high reactivity of these compounds (blue arrows) are diverted to the adjacent carbonyl group (green arrows). However, the overall influence of the modified substituent is still activating and ortho/para-directing.
![]() |
|
It should now be apparent that an extensive "toolchest" of reactions are available to us for the synthesis of substituted benzenes. Just as an expert carpenter must understand the characteristics and limitations of his/her tools, chemists must appreciate the nature of their "tools" when applying them to a specific synthesis. Six proposed syntheses are listed in the following diagram in rough order of increasing complexity. You should try to conceive a plausible reaction sequence for each. Once you have done so, you may check suggested answers by clicking on the question mark for each.
|
6. Reactions of Fused Benzene Rings
Compounds in which two or more benzene rings are fused together were described in an earlier section, and they present interesting insights into aromaticity and reactivity. The smallest such hydrocarbon is naphthalene. Naphthalene is stabilized by resonance. Three canonical resonance contributors may be drawn, and are displayed in the following diagram.

The two structures on the left have one discrete benzene ring each, but
may also be viewed as 10-pi-electron annulenes having a bridging single
bond. The structure on the right has two benzene rings which share a common
double bond. From heats of hydrogenation or combustion, the resonance
energy of naphthalene is calculated to be 61 kcal/mole, 11 kcal/mole less
than that of two benzene rings (2 * 36). As expected from an average of the
three resonance contributors, the carbon-carbon bonds in naphthalene show
variation in length, suggesting some localization of the double bonds. The
C1–C2 bond is 1.36 Å long, whereas the C2–C3 bond length is 1.42 Å. This
contrasts with the structure of benzene, in which all the C–C bonds have a
common length, 1.39 Å.
Naphthalene is more reactive than benzene, both in substitution and
addition reactions, and these reactions tend to proceed in a manner that
maintains one intact benzene ring. The following diagram shows three
oxidation and reduction reactions that illustrate this feature. In the last
example, catalytic hydrogenation of one ring takes place under milder
conditions than those required for complete saturation (the decalin product
exists as cis/trans isomers). Electrophilic substitution reactions take
place more rapidly at C1, although the C2 product is more stable and
predominates at equilibrium. Examples of these reactions will be displayed
by clicking on the diagram. The kinetically
favored C1 orientation reflects a preference for generating a cationic
intermediate that maintains one intact benzene ring. By clicking on the
diagram a second time, the two naphthenonium
intermediates created by attack at C1 and C2 will be displayed.
The structure and chemistry of more highly fused benzene ring compounds, such as anthracene and phenanthrene show many of the same characteristics described above.
Nucleophilic Substitution, Elimination & Addition Reactions
Nucleophilic Substitution, Elimination & Addition Reactions of Benzene Derivatives
1. Substitution
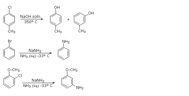
An early method of preparing phenol (the Dow process) involved the reaction of chlorobenzene with a concentrated sodium hydroxide solution at temperatures above 350 ºC. The chief products are phenol and diphenyl ether (see below). This apparent nucleophilic substitution reaction is surprising, since aryl halides are generally incapable of reacting by either an SN1 or SN2 pathway.
C6H5–Cl + NaOH solution |
350 ºC![]() |
C6H5–OH + C6H5–O–C6H5 + NaCl |
The presence of electron-withdrawing groups (such as nitro) ortho and
para to the chlorine substantially enhance the rate of substitution, as
shown in the set of equations presented on the left below. To explain this,
a third mechanism for nucleophilic substitution has been proposed. This
two-step mechanism is characterized by initial addition of the nucleophile
(hydroxide ion or water) to the aromatic ring, followed by loss of a halide
anion from the negatively charged intermediate. This is illustrated by
clicking the "Show Mechanism" button next to the diagram. The sites over
which the negative charge is delocalized are colored blue, and the ability
of nitro, and other electron withdrawing, groups to stabilize adjacent
negative charge accounts for their rate enhancing influence at the ortho
and para locations.
Three additional examples of aryl halide nucleophilic substitution are
presented on the right. Only the 2- and 4-chloropyridine isomers undergo
rapid substitution, the 3-chloro isomer is relatively unreactive. Nitrogen
nucleophiles will also react, as evidenced by the use of Sanger's reagent
for the derivatization of amino acids. The resulting N-2,4-dinitrophenyl
derivatives are bright yellow crystalline compounds that facilitated
analysis of peptides and proteins, a subject for which Frederick Sanger received one of his two
Nobel Prizes in chemistry.
![]() |
Additional Examples
|
|---|
Such addition-elimination processes generally occur at sp2 or sp hybridized carbon atoms, in contrast to SN1 and SN2 reactions. When applied to aromatic halides, as in the present discussion, this mechanism is called SNAr. Some distinguishing features of the three common nucleophilic substitution mechanisms are summarized in the following table.
|
Mechanism |
Number of Steps |
Bond Formation Timing |
Carbon Hybridization |
|---|---|---|---|
|
SN1 |
Two |
After Bond Breaking |
Usually sp3 |
|
SN2 |
One |
Simultaneous with |
Usually sp3 |
|
SNAr |
Two |
Prior to Bond Breaking |
Usually sp2 |
2. Elimination
There is good evidence that the synthesis of phenol from chlorobenzene does not proceed by the addition-elimination mechanism (SNAr) described above. For example, treatment of para-chlorotoluene with sodium hydroxide solution at temperatures above 350 ºC gave an equimolar mixture of meta- and para-cresols (hydroxytoluenes). Chloro and bromobenzene reacted with the very strong base sodium amide (NaNH2 at low temperature (-33 ºC in liquid ammonia) to give good yields of aniline (aminobenzene). However, ortho-chloroanisole gave exclusively meta-methoxyaniline under the same conditions. These reactions are described by the following equations.
![]() |
The explanation for this curious repositioning of the substituent group lies in a different two-step mechanism we can refer to as an elimination-addition process. The intermediate in this mechanism is an unstable benzyne species, as displayed in the above illustration by clicking the "Show Mechanism" button. In contrast to the parallel overlap of p-orbitals in a stable alkyne triple bond, the p-orbitals of a benzyne are tilted ca.120º apart, so the reactivity of this incipient triple bond to addition reactions is greatly enhanced. In the absence of steric hindrance (top example) equal amounts of meta- and para-cresols are obtained. The steric bulk of the methoxy group and the ability of its ether oxygen to stabilize an adjacent anion result in a substantial bias in the addition of amide anion or ammonia.
|
For additional information about benzyne and related species , Click Here. |
3. Addition
Although it does so less readily than simple alkenes or dienes, benzene adds hydrogen at high pressure in the presence of Pt, Pd or Ni catalysts. The product is cyclohexane and the heat of reaction provides evidence of benzene's thermodynamic stability. Substituted benzene rings may also be reduced in this fashion, and hydroxy-substituted compounds, such as phenol, catechol and resorcinol, give carbonyl products resulting from the fast ketonization of intermediate enols. Nickel catalysts are often used for this purpose, as noted in the following equations.

Benzene is more susceptible to radical addition reactions than to electrophilic addition. We have already noted that benzene does not react with chlorine or bromine in the absence of a catalyst and heat. In strong sunlight or with radical initiators benzene adds these halogens to give hexahalocyclohexanes. It is worth noting that these same conditions effect radical substitution of cyclohexane, the key factors in this change of behavior are the pi-bonds array in benzene, which permit addition, and the weaker C-H bonds in cyclohexane. The addition of chlorine is shown below; two of the seven meso-stereoisomers will appear if the "Show Isomer" button is clicked.
![]() |
|
The Birch Reduction |
Practice Problems
|
The following problems review various aspects of aromatic chemistry. The first two questions review some simple concepts. The next two questions require you to analyze the directing influence of substituents. The fifth question asks you to draw the products of some aromatic substitution reactions. The sixth question takes you through a multistep synthesis. |











