Reactions at the α-Carbon
Reactions at the α-Carbon
Many aldehydes and ketones were found to undergo electrophilic substitution at an alpha carbon. These reactions, which included halogenation, isotope exchange and the aldol reaction, take place by way of enol tautomer or enolate anion intermediates, a characteristic that requires at least one hydrogen on the α-carbon atom. In this section similar reactions of carboxylic acid derivatives will be examined. Formulas for the corresponding enol and enolate anion species that may be generated from these derivatives are drawn in the following diagram.

Acid-catalyzed alpha-chlorination and bromination reactions proceed more
slowly with carboxylic acids, esters and nitriles than with ketones. This
may reflect the smaller equilibrium enol concentrations found in these
carboxylic acid derivatives. Nevertheless, acid and base catalyzed isotope
exchange occurs as expected; some examples are shown in equations #1 and #2
below. The chiral alpha-carbon in equation #2 is racemized in the course of
this exchange, and a small amount of nitrile is hydrolyzed
to the corresponding carboxylic acid.
Acyl halides and anhydrides are more easily halogenated than esters and
nitriles, probably because of their higher enol concentration. This
difference may be used to facilitate the alpha-halogenation of carboxylic
acids. Thus, conversion of the acid to its acyl chloride derivative is
followed by alpha-bromination or chlorination, and the resulting
halogenated acyl chloride is then hydrolyzed to the carboxylic acid
product. This three-step sequence can be reduced to a single step by using
a catalytic amount of phosphorus tribromide or phosphorus trichloride, as
shown in equation #3. This simple modification works well because
carboxylic acids and acyl chlorides exchange functionality as the reaction
progresses. The final product is the alpha-halogenated acid, accompanied by
a trace of the acyl halide. This halogenation procedure is called the
Hell-Volhardt-Zelinski reaction.
To see a mechanism for the acyl halide-carboxylic acid exchange click the
"Show Mechanism" button.

In a similar fashion, acetic anhydride serves as a halogenation catalyst for acetic acid (first equation below). Carboxylic acids that have a higher equilibrium enol concentration do not need to be activated for alpha-halogenation to occur, as demonstrated by the substituted malonic acid compound in the second equation below. The enol concentration of malonic acid (about 0.01%) is roughly ten thousand times greater than that of acetic acid. This influence of a second activating carbonyl function on equilibrium enol concentrations had been noted earlier in the case of 2,4-pentanedione.
(i) |
CH3-CO2H + Br2 & (CH3CO)2O catalyst |
heat![]() |
BrCH2CO2H + HBr |
|---|
(ii) |
RCH(CO2H)2 + Br2 |
![]() |
RCBr(CO2H)2 + HBr |
|---|
1. Enolate Intermediates
Many of the most useful alpha-substitution reactions of ketones proceeded by way of enolate anion conjugate bases. Since simple ketones are weaker acids than water, their enolate anions are necessarily prepared by reaction with exceptionally strong bases in non-hydroxylic solvents. Esters and nitriles are even weaker alpha-carbon acids than ketones (by over ten thousand times), nevertheless their enolate anions may be prepared and used in a similar fashion. The presence of additional activating carbonyl functions increases the acidity of the alpha-hydrogens substantially, so that less stringent conditions may be used for enolate anion formation. The influence of various carbonyl and related functional groups on the equilibrium acidity of alpha-hydrogen atoms (colored red) is summarized in the following table. For common reference, these acidity values have all been extrapolated to water solution, even though the conjugate bases of those compounds having pKas greater than 18 will not have a significant concentration in water solution.
Acidity of α-Hydrogens in Mono- and Di-Activated Compounds
| Mono-Activation | Compound | RCH2–NO2 | RCH2–COR | RCH2–CO2CH3 | RCH2–C≡N | RCH2–SO2R | RCH2–CON(CH3)2 |
|---|---|---|---|---|---|---|---|
| pKa | 9 | 20 | 25 | 25 | 25 | 28 | |
| Di-Activation | Compound | CH2(NO2)2 | (CH3CO)2CH2 | CH3COCH2CO2C2H5 | CH2(C≡N)2 | CH2(CO2C2H5)2 | CH2(SO2CH3)2 |
| pKa | 4 | 9 | 11 | 11 | 13 | 13 | |
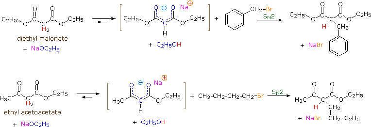
To illustrate the general nucleophilic reactivity of di-activated enolate anions, two examples of SN2 alkylation reactions are shown below. Malonic acid esters and acetoacetic acid esters are commonly used starting materials, and their usefulness in synthesis will be demonstrated later in this chapter. Note that each of these compounds has two acidic alpha-hydrogen atoms (colored red). In the equations written here only one of these hydrogens is substituted; however, the second is also acidic and a second alkyl substitution may be carried out in a similar fashion.

2. Claisen Condensation
The aldol reaction, is a remarkable and useful reaction of aldehydes and ketones in which the carbonyl group serves both as an electrophilic reactant and the source of a nucleophilic enol species. Esters undergo a similar transformation called the Claisen Condensation. Four examples of this base-induced reaction, which usually forms beta-ketoester products, are shown in the following diagram. Greek letter assignments for the ester products are given in blue. Equation #1 presents the synthesis of the important reagent ethyl acetoacetate, and #2 illustrates the general form of the Claisen condensation. Intramolecular reactions, such as #3, lead to rings (usually five or six-membered) and are referred to as Dieckmann Condensations. The last equation shows a mixed condensation between two esters, one of which has no alpha-hydrogens. The product in this case is a phenyl substituted malonic ester rather than a ketoester.
![]() |
|||
By clicking the "Structural Analysis" button below the diagram, a display showing the nucleophilic enolic donor molecule and the electrophilic acceptor molecule together with the newly formed carbon-carbon bond will be displayed. A stepwise mechanism for the reaction will be shown by clicking the "Reaction Mechanism" button. In a similar mode to the aldol reaction, the fundamental event in the Claisen condensation is a dimerization of two esters by an alpha C–H addition of one reactant to the carbonyl group of a second reactant. This bonding is followed by alcohol elimination from the resulting hemiacetal. The eventual formation of a resonance stabilized beta-ketoester enolate anion, as shown on the third row of the mechanism, provides a thermodynamic driving force for the condensation. Note that this stabilization is only possible if the donor has two reactive alpha-hydrogens.
The Claisen condensation differs from the aldol reaction in several important ways.
(i) The aldol reaction may be catalyzed by acid or base, but
most Claisen condensations require base.
(ii) In contrast to the catalytic base used for aldol reactions, a
full equivalent of base (or more) must be used for the Claisen
condensation. The extra base is needed because beta-ketoesters having
acidic hydrogens at the alpha-carbon are stronger acids (by about 5
powers of ten) than the alcohol co-product. Consequently, the alkoxide
base released after carbon-carbon bond formation (upper right structure
in the mechanism diagram) immediately removes an alpha proton from the
beta-ketoester product. As noted above, formation of this
doubly-stabilized enolate anion provides a thermodynamic driving force
for the condensation.
(iii) The aldol reaction may be catalyzed by hydroxide ion, but
the Claisen condensation requires that alkoxide bases be used, in order
to avoid ester hydrolysis. The specific alkoxide base used should match
the alcohol component of the ester to avoid ester exchange reactions.
Very strong bases such as LDA may also
be used in this reaction.
(iv) The stabilized enolate product must be neutralized by aqueous
acid in order to obtain the beta-ketoester product.
Transformations similar to the Claisen condensation may be effected with
mixed carbonyl reactants, which may include ketones and nitriles as well as
esters. Esters usually serve as the electrophilic acceptor component of the
condensation. Acyl chlorides and anhydrides would also be good
electrophilic acceptors, but they are more expensive than esters and do not
tolerate the alcohol solvents often used for Claisen condensations.
In the case of mixed
condensations, complex product mixtures are commonly avoided by using
an acceptor ester that has no alpha-hydrogens. Examples of such reactants
are: ethyl formate (HCO2C2H5), diethyl
carbonate
(C2H5OCO2C2H5),
ethyl benzoate
(C6H5CO2C2H5) and
diethyl oxalate
(C2H5O2C-CO2C2H5).
Equations #2, 3 & 4 below illustrate the use of such acceptors with
ester, ketone and nitrile donor compounds. The nucleophilic enol species
from the nitrile in #4 may be written as:
C6H5CH=C=N(–). The 2-formylcyclohexanone
product from reaction #3 exists predominantly as its hydrogen-bonded enol.
Most beta-ketoesters have significant enol
concentrations, but the formyl group has an exceptional bias for this
tautomer.

Equation #1 shows a condensation in which both reactants might serve
either as donors or acceptors. The selective formation of one of the four
possible condensation products is due to the reversibility of these
reactions and the driving force provided by resonance stabilization of the
enolate anion of 2,4-pentanedione (pKa=9). Protonation of this
anion gives the product. The last equation (#5) presents an interesting
example of selectivity. There are three ester functions, each of which has
at least one alpha-hydrogen. Only one of these, that on the left, has two
alpha-hydrogens and will yield an enolizable beta-ketoester by functioning
as the donor in a Dieckmann cyclization. Strained four-membered rings are
not favored by reversible condensation reactions, so ring closure to the
ester drawn below the horizontal chain does not occur. The only reasonable
product is the five-membered cyclic ketoester.
Although many Claisen condensations are carried out with a full equivalent
of the alkoxide base, an effective alternative procedure, used in reaction
#5, uses sodium hydride (NaH) together with a catalytic amount of alcohol.
The catalytic alcohol reacts with NaH to produce alkoxide, this initiates a
condensation reaction and the product alcohol then reacts with more NaH to
give alkoxide.
Condensation Reactions in Synthesis
Applications of Condensation Reactions to Synthesis
The construction of complex molecules by a series of suitable reactions carried out from simple starting compounds is called synthesis. Synthesis is not only of immense practical importance (aspirin and nylon are two examples of commercially valuable synthetic compounds), but it also allows us to prepare novel molecules with which to test our understanding of structure and reactivity. Three challenges must be met in devising a synthesis for a specific compound:
1. The carbon atom framework or skeleton that is found in the
desired compound (the target) must be assembled.
2. The functional groups that characterize the target compound
must be introduced or transformed from other groups at appropriate
locations.
3. If centers of stereoisomerism are present, they must be fixed
in a proper manner.
Recognition of these tasks does not imply that they are independent of each other, or should be approached and solved separately. A successful plan or strategy for a synthesis must correlate each step with all these goals, so that an efficient and practical solution to making the target molecule is achieved. Nevertheless, it is useful to classify the various reactions we have studied with respect to their ability to (i) enlarge or expand a given structure, (ii) transform or relocate existing functional groups, and (iii) do both of these in a stereoselective fashion. The organization of this text by functional group behavior partially satisfies the second point, and the following discussion focuses on the first.
1. Carbon-Carbon Bond Formation
A useful assortment of carbon-carbon bond forming reactions have been
described in this and earlier chapters. These include:
(1)Friedel-Crafts
alkylation and acylation.
(2)Diels-Alder
cycloaddition.
(3)addition of
organometallic reagents to aldehydes, ketones & carboxylic
acid derivatives.
(4)alkylation of
acetylide anions.
(5)alkylation of
enolate anions.
(6)Claisen and aldol
condensations.
With the exception of Friedel-Crafts alkylation these reactions all give
products having one or more functional groups at or adjacent to the bonding
sites. As a result, subsequent functional group introduction or
modification may be carried out in a relatively straightforward manner.
This will be illustrated for aldol and Claisen condensations in the
following section.
2. Modification of Condensation Products
A. Reactions of Aldol Products
The aldol reaction produces beta-hydroxyaldehydes or ketones, and a number of subsequent reactions may be carried out with these products. As shown in the following diagram, they may be (i) reduced to 1,3-diols, (ii) a 2º-hydroxyl group may be oxidized to a carbonyl group, (iii) acid or base catalyzed beta-dehydration may produce an unsaturated aldehyde or ketone, and (iv) organometallic reagents may be added to the carbonyl group (assuming the hydroxyl group is protected as an ether or a second equivalent of reagent is used).

B. Reactions of Claisen Products
The Claisen condensation produces beta-ketoesters. These products may then be modified or enhanced by further reactions. Among these, the following diagram illustrates (i) partial reduction of the ketone with NaBH4, (ii) complete reduction to a 1,3-diol by LiAlH4, (iii) enolate anion alkylation, and (iv) ester hydrolysis followed by thermal decarboxylation of the resulting beta-ketoacid.

C. Synthesis Examples
To illustrate how the reaction sequences described above may be used to prepare a variety of different compounds, five examples are provided here. The first is a typical aldol reaction followed by reduction to a 1,3-diol (2-ethyl-1,3-hexanediol). In the second example, the absence of alpha-hydrogens on the aldehyde favors the mixed condensation, and conjugation of the double bond facilitates dehydration. The doubly-activated methylene group of malonic and acetoacetic acids or esters makes them good donors in any condensation, as is demonstrated by the third aldol-like reaction. A concerted dehydrative-decarboxylation (shown by the magenta arrows) leads to the unsaturated carboxylic acid product. Amine bases are often used as catalysts for aldol reactions, as in equations #2 & 3. The fourth reaction demonstrates that the conjugate base of the beta-ketoester products from Claisen or Dieckmann condensation may be alkylated directly. Thermal decarboxylation of the resulting beta-ketoacid gives a mono-alkylated cyclic ketone. Finally, both acidic methylene hydrogens in malonic ester or ethyl acetoacetate may be substituted, and the irreversible nature of such alkylations permits strained rings to be formed. In this case thermal decarboxylation of a substituted malonic acid generates a carboxylic acid. In all these examples the remaining functional groups could be used for additional synthetic operations.

|
Vinylagous Reactions |
Some Exercises
If you understand the previous discussion of reactions useful in synthesis you should try the following problems. Some of them are complex so don't be concerned if you don't solve them all immediately. Analyze each problem carefully, and try to learn from it. The solutions will be displayed by clicking the answer button under the diagram.

The following problems ask you to devise a synthesis for a given target molecule. The first two problems make use of the common starting materials, diethyl malonate and ethyl acetoacetate. The third problem leaves the choice of materials open. The nature of the target molecule suggests that an aldol condensation might be useful. The fourth problem must be solved by using diethyl succinate as the only reagent. Finally, other reactants composed of no more than five carbon atoms may be used in the last problem.

Practice Problems
|
The following problems review many aspects of the chemistry of carboxylic acids and their derivatives. The first question explores the relative acidity of various functional derivatives. The second tests your understanding of the Claisen condensation. The third is an introduction to multistep syntheses. The fourth and fifth questions ask you to draw the product structures for a number of multistep syntheses, involving other classes of compounds as well as carboxylic acids. The last two questions allow you to choose reagents for a multistep synthesis. |

