Skip to main content
HomeReuschVirtual Textbook Non-ionic ReactionsPericyclic Reactions Examples

Cycloaddition Reactions

An assortment of thermal and photochemical cycloaddition reactions are shown here. The photochemical reactions are noted by a over the arrow. The reader should inspect each reaction to determine whether it has a 4n or a 4n+2 electron transition state, and deduce the expected stereochemistry. By clicking on the diagram this information will be displayed.


End of this supplementary topic

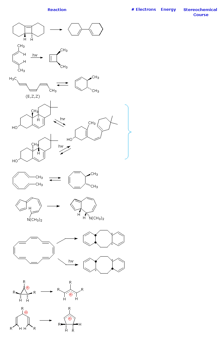
Electrocyclic Reactions

An assortment of thermal and photochemical electrocyclic reactions are shown here. The photochemical reactions are noted by a over the arrow. The reader should inspect each reaction to determine whether it has a 4n or a 4n+2 electron transition state, and deduce the expected stereochemistry. By clicking on the diagram this information will be displayed.


End of this supplementary topic

Sigmatropic Reactions

An assortment of thermal sigmatropic reactions are shown here. The reader should inspect each reaction to determine whether it has a 4n or a 4n+2 electron transition state, and deduce the expected stereochemistry. By clicking on the diagram this information will be displayed.


End of this supplementary topic

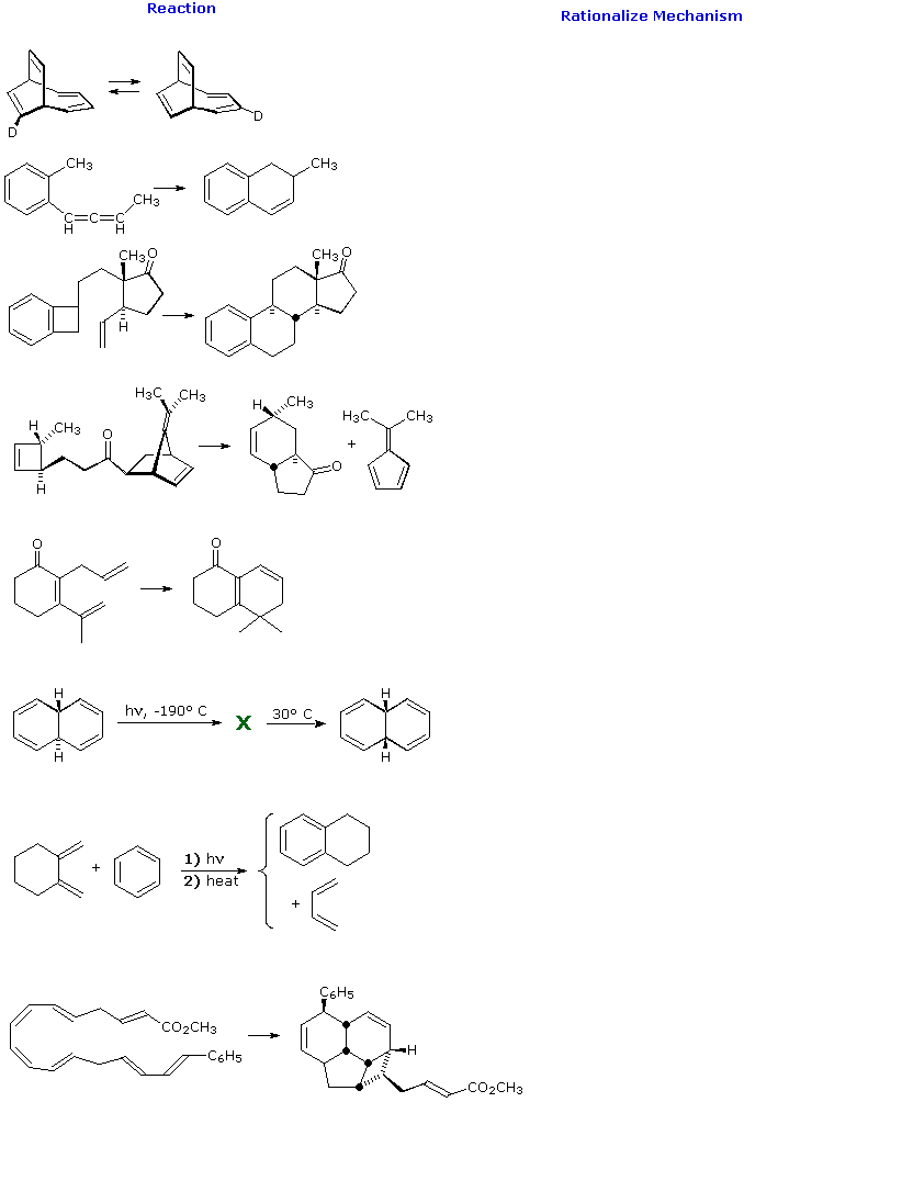
Combinations of Pericyclic Reactions

A collection of multistage pericyclic transformations are presented here. Photochemical reactions are noted by a over the arrow. The reader should dissect each overall reaction into its component steps, and classify each as having a 4n or a 4n+2 electron transition state. By clicking on the diagram this information will be displayed.


End of this supplementary topic